政府融资项目的短期高级贷款矩阵 - 凯普地热的二投策略
随着ALC凯普地热电站项目就业完成,EB-5 资金提前三年半回款,这个令人瞩目的乡村项目已经成为RIA新法案下第一个面对再投资计划的大型项目。
与EB-5行业中所有以往的再投资安排相比,ALC目前制定的计划明显不同。针对这笔投资已经不用创造新的就业,仅仅需要维持风险这个相对宽松的要求,ALC的再投资计划重点聚焦在控制整体投资风险和确保资金短期回收上。简单来说,ALC的再投资目标只有一个:争取全部资金短期内能100% 返还到投资人手中。
投资必有风险,怎么能达到这个目标呢?
ALC区域中心对所有再投资项目均继续严格执行高级贷款信贷风控,这一点与中心其它EB-5新项目的审核流程没有本质区别。但为了让再投资更加安全,在发给凯普地热项目每个投资人的资金退出通知中,ALC又进一步明确了再投资项目必须满足的三项“附加筛选条件”,条件的具体内容如下:
1) 再投资必须进入高级贷款,有足量资产抵押。
2) 再投资项目必须符合美国政府担保贷款/融资项目的要求。
3) 所有再投资贷款期不超过三年。
这里有两个重点需要解释。第一,什么是高级贷款?是不是只要占据了抵押资产的第一清偿顺位就可以称作高级贷款呢?对ALC这样的专业贷款机构而言,第一清偿顺位贷款,如果没有经过严格的信贷风控并获批,就不能称其为高级贷款。高级贷款虽然同样处于抵押资产的第一清偿顺位,但在批准贷款前贷款机构必须审慎评估借款机构真实的还款能力,把贷款违约的可能性压缩到最低。这是因为,如果风控没过关,抵押资产的第一清偿权本身并不能降低贷款违约的风险。简单来说,ALC的信贷风控团队会保证每个再投资项目不仅有抵押资产,同时每个借款机构都具备足够强的还款能力。
第二,为什么要求每个再投资项目都要具备政府担保贷款获批资格呢?这是因为,根据ALC多年从事政府担保贷款的经验看,政府融资项目,比如美国农业部担保贷款 (USDA Guaranteed Loans) ,清洁能源贷款 (C-PACE) ,以及联邦政府基金 (Federal Grants) 需要的申请流程本身就是对企业进行的严格信贷风控。如果一个项目同时经历了ALC和政府贷款/融资机构的双层信贷风控,投资回收风险将进一步大大降低。
此外,在控制再投资风险上,ALC内部风控要求中还有一项特殊规定 - 就是控制再投资贷款的利率,原则上再投资利率不得超过第一次投资的贷款利率。这个原则进一步压缩了再投资项目的回收风险。
凯普地热的再投资投资项目最终有几个呢?目前计划中大约有20个不同项目,来自不同行业,不同地理位置,不同规模,当然这些项目也是由不同的管理团队参与管理。这是个投资矩阵概念,或者说是“20个投资项目的管理组合”。为什么要把一个投资变得如此复杂呢?
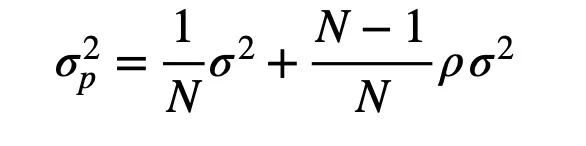
对于有量化投资分析基础的朋友,可以不妨温习一下这个公式 (没有专业知识的请跳过以下段落) :
对于一个包含 N 个投资、且每个投资风险水平相近的组合:

-
σ:单个投资的波动率
-
ρ:投资之间的平均相关性
-
第一项:可分散的特定风险(非系统性风险)
-
第二项:不可分散的系统性风险
什么是非系统性风险?这些风险包括具体一个项目所在的行业风险,该项目地理位置导致的区域经济风险,该项目的管理团队风险等所有与项目本身高度相关的风险。而这一类风险是可以通过投资组合有效分散的。组合中不具备相关性的投资数量越多,非系统性风险带来的投资波动性越低。上面公式中的N代表一个投资组合中的投资数量。当N = 20的时候,整体投资波动率会明显下降。当组合中投资数量在15到25之间的时候,投资风险分散化效率达到最优区间。数量少于15,风险分散化效率仍有不足;超过这个数量,边际收益又微乎其微,考虑到增加的管理成本,就不再有任何意义。因此,N = 20基本上是最优解。事实上,当组合中投资数量达到20个,非系统性风险已经被分散了90%到95%。
以上分析解释了为什么ALC把凯普地热再投资矩阵的项目规模定在20个。
ALC针对凯普地热再投资的项目信贷风控工作在资金退出之前三个月已经大范围启动。目前距离全部确定每个再投资项目仅几天之遥。预计在一周内,ALC区域中心将把所有入选的20个项目部分细节披露给每个项目投资人。这些项目的贷款周期都比较短,主要以一年期为主。
构建一个规模足够大的“政府融资项目短期高级贷款矩阵”作为再投资选项,这在EB-5行业闻所未闻。这样做对资金安全的帮助是巨大的,不仅会让投资人对再投资建立充分的信心,更以实际行动大大提高了EB-5行业再投资的安全标准。
